Nota:
El acceso a esta página requiere autorización. Puede intentar iniciar sesión o cambiar directorios.
El acceso a esta página requiere autorización. Puede intentar cambiar los directorios.
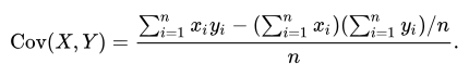
计算 expr1 和 expr2两个随机 变量的填充协变。
使用以下公式:
注释
此函数与 summarize 运算符结合使用。
语法
covariancep(
expr1,expr2)
详细了解语法约定。
参数
| 名字 | 类型 | 必选 | DESCRIPTION |
|---|---|---|---|
| expr1 | real |
✔️ | 第一个随机变量表达式。 |
| expr2 | real |
✔️ | 第二个随机变量表达式。 |
退货
返回 expr1 和 expr2的协变值。
例子
本节中的示例演示如何使用语法帮助你入门。
datatable(x:real, y:real) [
1.0, 14.0,
2.0, 10.0,
3.0, 17.0,
4.0, 20.0,
5.0, 50.0,
]
| summarize covariancep(x, y)
输出
| covariancep_x_y |
|---|
| 16.4 |